Назначение и технические данные. Блок ускоренного отключения предназначен для обработки информации, поступающей от датчиков короткого замыкания и перегрузок, которые контролируют ток в цепи выпрямительной установки и тяговых двигателей, и для отключения в случае необходимости главного выключателя ВОВ-25-4М. Блок отключения устанавливается в моторном вагоне в шкафу № 5.
Технические данные блока БУ-2:
Напряжение питания........ 'ЮІзо^В
Уставка блока управления по входам
датчиков короткого замыкания..... 5,6±5°/о А
Уставка блока управления по входу дат-
. чика перегрузки тяговых двигателей . . . 25±5°/о В Импульс тока, подаваемого блоком от аккумуляторной батареи на отключающую катушку главного выключателя:
амплитудное значение........ 40...60 А
длительность импульса...... 0,12...0,14 с
Потребляемая мощность . ...... 15 Вт
Габаритные размеры........ 258X205X370 мм
Масса.............. 8 кг
Устройство и работа. Блок отключения состоит из панели с элементами, основания и кожуха. На панели с элементами размещаются основные схемные детали: резисторы, конденсаторы, реле, диоды и тиристор, назначение которых см. в гл. XV.
Кожух предназначен для предохранения элементов от механических повреждений. К нему крепится с помощью винтов держатель. В держателе закреплена стенка, которая обеспечивает отсечку светового потока ламп Вкл и Выкл друг от друга.
На основании установлена скоба, предназначенная для размещения на ней сигнальных ламп Вкл и Выкл и кнопок Контр и Восст:

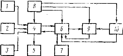
Рис. 59. Структурная схема взаимодействия аппаратов
лампа Вкл зеленого цвета; сигнализирует о наличии напряжения на блоке отключения и его исправности;
лампа Выкл красного цвета; она загорается при срабатывании ВОВ, под действием блока управления;
кнопкой Контр имитируется ток короткого замыкания в цепи выпрямительной установки и тяговых двигателей электропоезда;
нажатием на кнопку Восст восстанавливается исходное положение блока отключения после контрольного срабатывания главного выключателя.
В качестве датчиков короткого замыкания на электропоезде используют трансформаторы тока ТПОЛ-10 ТУ 16-517.387—70, в качестве датчика перегрузки применяют дифференциальное реле (по схеме БДР).
Структурная схема взаимодействия блока отключения, датчиков короткого замыкания и перегрузки, главного выключателя и аппаратов защиты электропоезда приведена на рис. 59. Под воздействием сигналов датчиков короткого замыкания / и 2, установленных в цепи выпрямительной установки, и датчика 3 — в цепи тяговых двигателей блок ускоренного отключения 4 выдает импульс тока на отключение главного выключателя 9 через вспомогательную панель 6. После срабатывания выключателя цепь его катушки разрывается контактором панели 6. Срабатывание главного выключателя под действием блока ускоренного, отключения 4 фиксируется сигнальным устройством 5, расположенным в блоке ускоренного отключения. Питание системы осуществляется от источника постоянного тока 8 (генератора или аккумуляторной батареи).
Таблица 10
|
Неисправность |
Причина |
Способ устранения |
|
Блок срабатывает во время стоянки электропоезда или при движении его без тока Блок срабатывает при токе, не достигающем уставки (1120...1200 А) При включенных ВОВ и РУМ лампа Вкл не горит, контактор на вспомогательной панели не включается |
Выходной тиристор переключается по аноду (понизился класс тиристора) Изменилась уставка Вышел из строя резистор R4 (см. рис. 111) Перегорела лампа Вкл Перегорела плавкая вставка па вспомогательной панели |
Замените тиристор Проверьте уставку. Законтрите гайки регулируемых резисторов Замените резистор Я4 Замените лампу Замените - плавкую вставку |
В случае неисправности блока 4 или отсутствия питания в нем вспомогательная панель 6 отключает выпрямительную установку линейными контакторами 7. Восстановление блока ускоренного отключения после его срабатывания осуществляется с пульта машиниста 10 нажатием на кнопку Восстановление ВВ, защиты.
Характерные неисправности блока БУ-2 и методы их устранения указаны в табл. 10.
|
|